ADAPTIVE FUZZY CONTROLLER

https://www.tutorialspoint.com/fuzzy_logic/adaptive_fuzzy_controller.htm






1. Pengenalan Adaptive Fuzzy Controller        [kembali]

    Pengontrol adaptif merupakan suatu pengontrol yang dapat mengubah parameternya dan memiliki suatu mekanisme untuk penyetelan parameterparameter tersebut. Sedangkan menurut Wang Xin-Li (1997), pengontrol adaptif fuzzy didefinisikan sebagai sistem logika fuzzy yang dilengkapi dengan algoritma pembelajaran. Pengontrol adaptif fuzzy akan mengubah dan menyesuaikan parameter kendali secara otomatis sesuai dengan kelakuan sistem yang dikehendaki melalui algoritma pembelajarannya. 


2. Langkah-langkah Dasar Algoritma Adaptive Fuzzy         [kembali]

Langkah-Langkah Dasar untuk Menerapkan Algoritma Adaptif

Sekarang mari kita bahas langkah-langkah dasar untuk mengimplementasikan algoritma adaptif.

· Pengumpulan data yang dapat diamati Data yang dapat diamati dikumpulkan untuk menghitung kinerja pengontrol.

· Penyesuaian parameter pengontrol Sekarang dengan bantuan kinerja pengontrol, perhitungan penyesuaian parameter pengontrol akan dilakukan.

· Peningkatan kinerja pengontrol Pada langkah ini, parameter pengontrol disesuaikan untuk meningkatkan kinerja pengontrol.


3. Konsep Operational Adaptive Fuzzy         [kembali]

Perancangan pengontrol didasarkan pada asumsi model matematis yang menyerupai sistem nyata. Kesalahan antara sistem aktual dan representasi matematisnya dihitung dan jika itu relatif tidak signifikan daripada model yang diasumsikan bekerja secara efektif.

Konstanta ambang batas yang menetapkan batas untuk efektivitas pengontrol, juga ada. Input kontrol dimasukkan ke dalam sistem nyata dan model matematis. Di sini, asumsikan x ( t ) adalah keluaran dari sistem nyata dan u( t )adalah keluaran dari model matematika. Kemudian kesalahanε ( t ) dapat dihitung sebagai berikut:

                            ε ) = ) - y)

Di Sini, yang diinginkan adalah output yang kita inginkan dari sistem dan μ(T) adalah keluaran yang berasal dari pengontrol dan menuju ke model real maupun matematis.

Diagram berikut menunjukkan bagaimana fungsi kesalahan dilacak antara output dari sistem nyata dan model Matematika




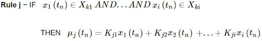
4. Parameterisasi Sistem        [kembali]

Kontroler fuzzy yang desainnya didasarkan pada model matematika fuzzy akan memiliki bentuk aturan fuzzy sebagai berikut:




Kumpulan parameter di atas mencirikan pengontrol.


5. Penyesuaian Mekanisme        [kembali]

Parameter pengontrol disesuaikan untuk meningkatkan kinerja pengontrol. Proses perhitungan penyesuaian parameter adalah mekanisme penyesuaian.

Secara matematis, mari θ(n) menjadi satu set parameter yang akan disesuaikan pada waktu T=TnPenyesuaian dapat berupa perhitungan ulang parameter,


Di Sini Dn adalah data yang dikumpulkan pada waktu T=Tn.

Sekarang formulasi ini dirumuskan kembali dengan memperbarui set parameter berdasarkan nilai sebelumnya sebagai,




6. Parameter Untuk Memilih Pengontrol Fuzzy Adaptive        [kembali]

Parameter berikut perlu dipertimbangkan untuk memilih kontroler fuzzy adaptif

·      Dapatkah sistem didekati seluruhnya dengan model fuzzy?

·      Jika suatu sistem dapat didekati seluruhnya dengan model fuzzy, apakah parameter model fuzzy ini sudah tersedia atau harus ditentukan secara online?

·      Jika suatu sistem tidak dapat didekati seluruhnya dengan model fuzzy, dapatkah sistem didekati secara sepotong-sepotong oleh sekumpulan model fuzzy?

·      Jika suatu sistem dapat didekati dengan sekumpulan model fuzzy, apakah model-model ini memiliki format yang sama dengan parameter yang berbeda atau memiliki format yang berbeda?

·      Jika suatu sistem dapat didekati dengan sekumpulan model fuzzy yang memiliki format yang sama, masing-masing dengan set parameter yang berbeda, apakah set parameter ini tersedia atau harus ditentukan secara online?


7. Video        [kembali]


Part 1



Part 2




    



No comments:

Post a Comment